武汉学子为血液病患者送上马年“生命红包”
长江云新闻 2026-02-05 12:32:02

2026年2月5日,武汉某指定造血干细胞采集医院内,一场温暖的生命接力悄然进行。武汉某大学公卫学院2021级预防医学专业本科生小马,平静躺在采集床上,即将为远方陌生血液病患者捐献造血干细胞,送去重生希望。

2026年2月5日,武汉某指定造血干细胞采集医院内,一场温暖的生命接力悄然进行。武汉某大学公卫学院2021级预防医学专业本科生小马,平静躺在采集床上,即将为远方陌生血液病患者捐献造血干细胞,送去重生希望。

这份生命馈赠,源于三年前的承诺。2023年,21岁的小马在校园公益活动中,主动登记加入中华骨髓库。2025年冬,他与患者配型成功,作为预防医学专业学生和党员,他毫不犹豫答应捐献。彼时刚做完阑尾炎手术、身患慢性中耳炎,且血压、体重不达标,这个山东小伙拿出“泰山挑山工”的坚韧,制定调整计划,数月后顺利达标。
“得到过温暖,就要传递温暖”,这是小马的信念。来自普通家庭的他,曾获国家奖学金等帮扶,始终牢记善意循环。大学期间,他参与30余项志愿活动,服务时长超800小时,获评多项公益荣誉和优秀共产党员。2024年,母亲突发脑出血,恰逢学业最繁重时期,他兼顾家庭与学业,最终助母亲脱险并斩获佳绩,这段经历也让他能更好地鼓励患者。



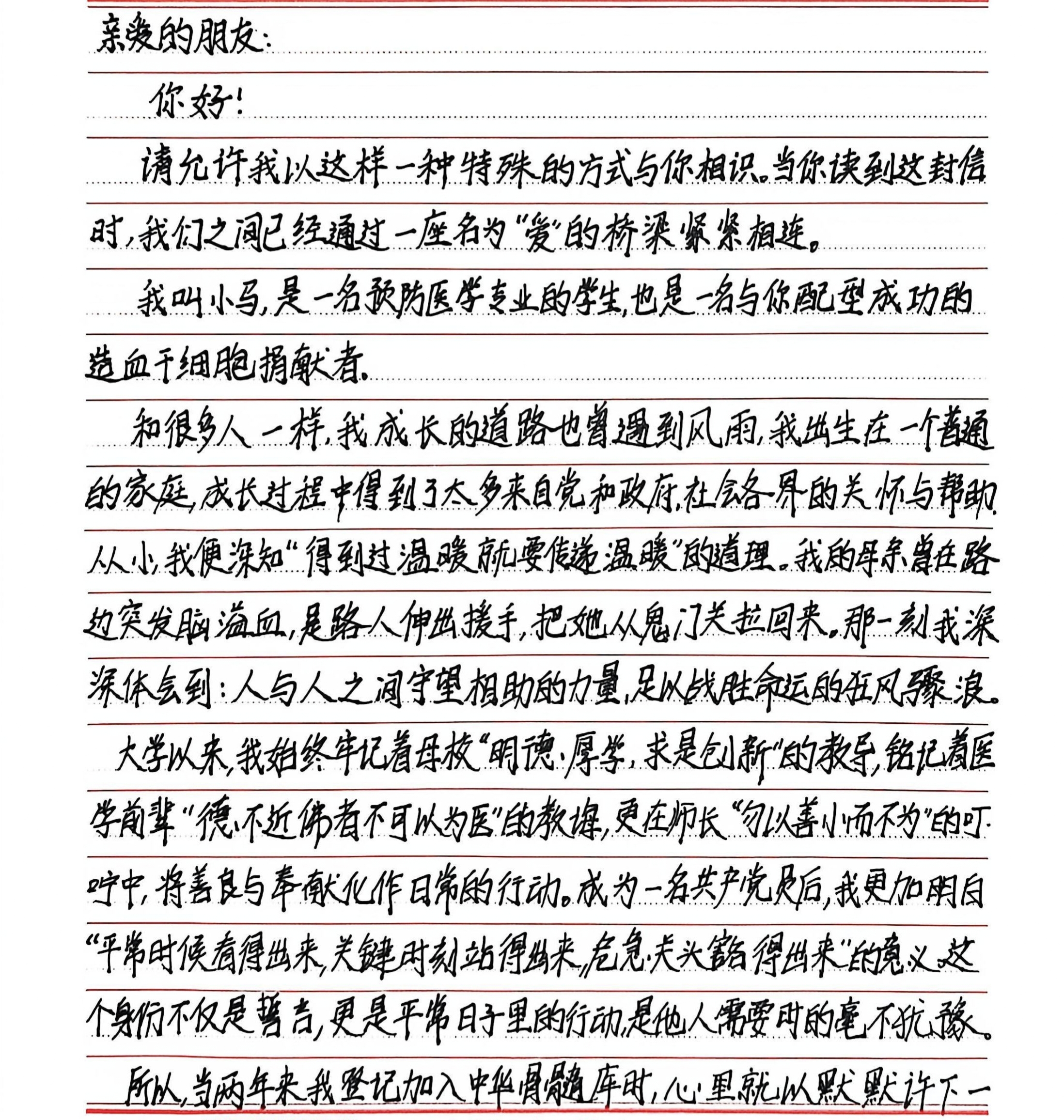
按照双盲原则,两人两年内互不知晓信息,但善意纽带已将他们相连。小马写下书信寄语患者:“愿你康复后传递善意,让这场生命相遇,得以美好延续。”
(长江云新闻记者 裴蕾 通讯员 章晟)
责任编辑 吴晓文

融媒体平台建设服务
长江云新时代文明实践平台

大数据舆情中心

